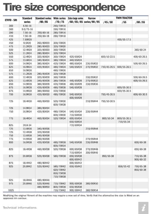
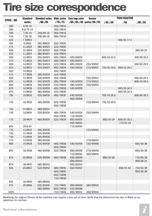
技术信息
无论您遇到何种技术问题,无论是关于设备、轮胎还是轮辋,都可在技术手册中获取参考信息。为便于快速查找,特瑞堡提供多款电子工具,您可在菜单中选择相应工具,高效获取所需信息。
产品资料及技术手册

产品手册
您可浏览并下载特瑞堡农业与林业轮胎产品资料,进一步了解我们的轮胎产品及完整车轮解决方案。
技术手册
通过这些工具,您可查询特瑞堡产品系列的技术参数,以及合理使用轮胎的相关建议。

轮辋
并装系统
应用建议
Twin Forestry 林业轮胎
欢迎了解我们新一代林业轮胎Twin Forestry系列产品,其胎体结构有助于提升持续作业能力与地形适应性。

胎压技术表
林业轮胎使用胎压、装配和操作规范
林业轮胎胎压技术表
林业轮胎推荐胎压技术表

技术视频
联系我们
想与我们联系?您可以随时与我们取得联系,我们将在收到您的信息后及时与您接洽。













